当前位置:肿瘤瞭望>资讯>正文

诺华NET之声︱神经内分泌肿瘤文献速递与专家点评(八)

作者:肿瘤瞭望   日期:2019/11/4 11:02:29  浏览量:15167

肿瘤瞭望版权所有,谢绝任何形式转载,侵犯版权者必予法律追究。

编者按:本篇文章为“诺华NET之声”2019年第八期,精选了2019年8月份以来神经内分泌肿瘤诊治领域最新发表的论文。其中,三篇论文与生长抑素类似物有关,包括研究非常规剂量生长抑素类似物治疗的有效性和安全性、构建生长抑素类似物治疗无进展生存预测模型以及探讨神经内分泌肿瘤患者治疗模式;一篇论文构建了胰腺神经内分泌肿瘤术后复发预测模型;尚有两篇论文分别综述了G3 NET的治疗和I、II和III型胃神经内分泌肿瘤的鉴别。本期特别邀请了厦门大学附属第一医院叶峰教授,对非常规剂量生长抑素类似物治疗高分化神经内分泌肿瘤有效性和安全性研究进行点评。

注:公众号内回复“NET之声”,随时观看往期内容
 
 
目录
 
 
药物治疗
 
1、非常规剂量生长抑素类似物治疗进展性高分化神经内分泌瘤
 
Non-conventional doses of somatostatin analogs in patients with progressing well differentiated neuroendocrine tumor.
J Clin Endocrinol Metab [IF=5.605]
 
目的:对于既往治疗中出现影像学疾病进展(根据RECIST标准)的高分化型胃肠胰(GEP)神经内分泌瘤(NET)患者,评估接受非常规剂量生长抑素类似物(HD-SSA)治疗的抗肿瘤增殖活性和安全性。
 
方法:研究团队对13个意大利NET-专业中心的前瞻性数据库进行了回顾性分析。主要纳入标准为:高分化1/2级 GEP-NET患者;接受HD-SSA治疗(增加给药剂量[剂量强度]或减少给药间隔[剂量密度]);在HD-SSA治疗前的既往治疗中出现疾病进展。主要终点是无进展生存(PFS)和安全性。
 
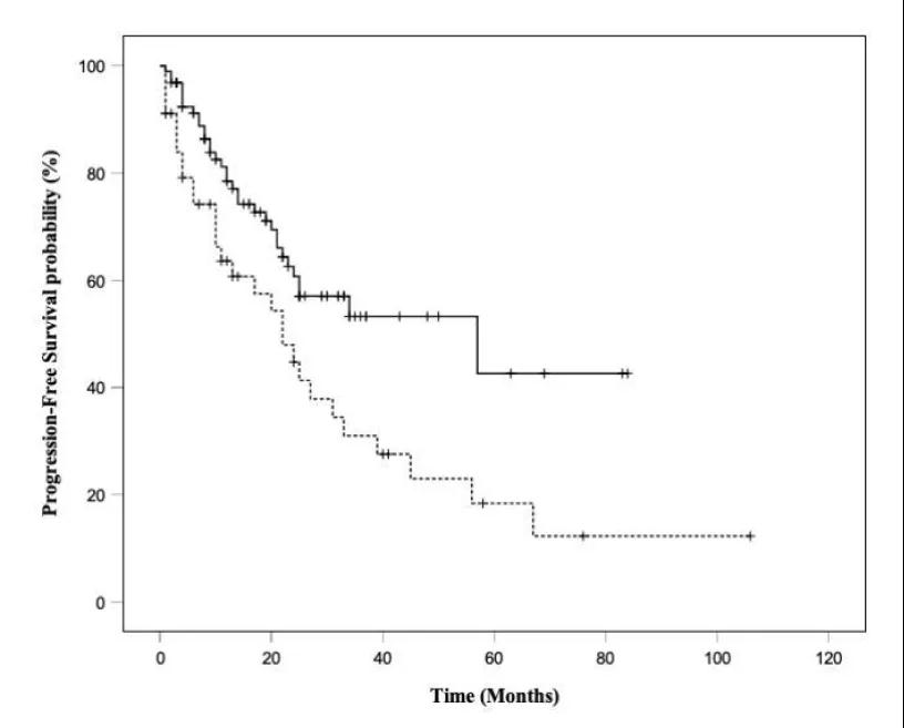
结果:198例患者中,140例符合纳入标准并纳入分析。总体上,中位PFS为31个月。与三线或更多线治疗相比,将HD-SSA作为二线治疗显著降低疾病进展或死亡风险(HR:2.12,P=0.004,图1)。增加HD-SSA治疗的剂量密度(N=133,95%)或强度(N=7,5%),对PFS无影响。根据RECIST标准,12例(8.6%)患者出现部分缓解,106例(75.7%)患者疾病稳定。21例(15.0%)患者出现不良反应,其中2例出现3级胆结石。无患者因不良事件而终止HD-SSA治疗。
 
结论:HD-SSA用于进展性高分化型GEP-NET治疗,是有效且安全的。研究中观察到的高客观缓解率值得在其他专门的临床试验中进行前瞻性验证。
 
总结:研究分析了大剂量生长抑素类似物治疗经既往常规剂量生长抑素类似物治疗出现疾病进展的神经内分泌瘤的效果。大剂量生长抑素类似物治疗方案有效且安全。
 
图1 生存分析提示,与将非常规剂量生长抑素类似物(HD-SSA)作为三线或之后治疗,将HD-SSA作为二线治疗能显著延长患者无进展生存
 
专家点评
厦门大学附属第一医院肿瘤内科  叶峰 教授
 
生长抑素类似物(SSAs) 具有天然SST类似的多种生物学效应, 可以抑制多种激素如生长激素、胰高血糖素、胰岛素、胃泌素、促甲状腺素等的释放,调节胃肠道蠕动, 降低门脉血流, 减少肠道对水、钠的吸收等。其通过靶细胞膜上的特异性生长抑素受体(Somatostatin receptor, SSTR)介导发挥其效应。人SSTR属于G蛋白偶联受体超家族,是具有7个跨膜区的糖蛋白,SSTR可在多种正常器官组织中表达。90%以上的神经内分泌肿瘤表达SSTR,SSTR2是最常表达的SSTR,其次为SSTR5和SSTR1,而SSTR3和SSTR4表达相对少见。
 
SSAs是当前用于控制功能性NEN激素过度分泌引起相关症状的一线治疗药物,能有效控制类癌综合征;也被证实具有抗肿瘤增殖的作用,可作为中肠NEN的一线治疗药物。SSAs是分化良好的GEP NET(G1/G2)及原发灶不明NET(G1/G2)的一线治疗选择 。   
 
回顾一线治疗的经典研究,PROMID研究证实了长效奥曲肽对转移性、起源于中肠的神经内分泌肿瘤生长的控制作用,30mg的治疗剂量可显著延长患者TTP。CLARINET研究也表明了兰瑞肽120mg对无功能肠胰和不明原发灶NET的治疗作用。在临床一线治疗中,我们常规推荐长效奥曲肽20-60mg, 每2-4周肌注一次;兰瑞肽30 mg, 每2周肌注一次;兰瑞肽水凝胶90-120mg, 每4周肌注一次。
 
但如果治疗期间出现疾病进展或者症状控制不满意时,如何使用高剂量SSAs类药物进行安全有效的挽救治疗呢?文中研究团队对13个意大利NET-专用中心的前瞻性数据库进行了回顾性分析,在高分化1/2级 GEP-NET的进展期患者中,接受了非常规剂量生长抑素类似物(HD-SSA)治疗(增加给药剂量[剂量强度]或减少给药间隔[剂量密度])的治疗模式。结果发现,非常规剂量生长抑素类似物(HD-SSA)治疗用于既往治疗中出现影像学疾病进展(根据RECIST标准)的高分化型胃肠胰(GEP)神经内分泌瘤(NET)患者是安全有效的。与三线或更多线治疗相比,将HD-SSA作为二线治疗显著降低疾病进展或死亡风险,增加HD-SSA治疗的剂量密度或强度,对PFS无影响。
 
尽管目前对于HD-SSA的给药模式仍无统一定论,但对于其临床使用的安全性及有效性方面给予了临床医生一定的信息,也期待有更多、更精准的研究能进一步提供相关信息,指导临床治疗。
 
2、晚期胃肠道神经内分泌肿瘤(GI NET)真实世界治疗模式和临床结局:多中心回顾性队列研究
Real-World Treatment Patterns and Clinical Outcomes in Advanced Gastrointestinal Neuroendocrine Tumors (GI NET): A Multicenter Retrospective Chart Review Study
Oncologist [IF=5.252]
背景:在美国的四个大型三级转诊中心评估了晚期胃肠道(GI)神经内分泌肿瘤(NET)患者的治疗模式和结果。
 
患者和方法:对2011年7月至2014年12月期间接受治疗、年龄≥18岁的晚期GI NET患者进行回顾性队列分析。索引日期是组织学证实为局部晚期/转移性GI NET的诊断日期。数据包括自索引日期至末次联系或死亡的基线特征、治疗模式、进展、死亡以及与GI NET相关的医疗资源利用。使用Kaplan-Meier方法进行治疗中止、进展和总生存期(OS)的至事件时间分析。
 
结果:纳入273例患者。156例(57%)为原发性回肠NET,174例(64%)为功能性NET。一线治疗包括生长抑素类似物(SSA)单药(89%)或联合(2%)治疗、肝脏定向治疗(LDT;8%)和细胞毒性化疗或干扰素(2%)。155例患者继续接受二线治疗,包括SSA单药(17%)或联合治疗(75%,其中3%联合肽受体放射性核素治疗)、LDT(4%)和其他治疗方法(3%)。SSAs一线治疗至停药的中位时间为154.0个月,细胞毒性化疗为3.8个月。初始治疗后,至研究者评估的进展的中位时间为30.3个月。所有一线初始治疗患者的中位OS为151.8个月,一线SSA治疗的患者为178.9个月。
 
结论:SSAs在GI NETs患者的一线和后续治疗中普遍使用,这种情况下患者的生存期相对较长,并可接受多种其他治疗(图2)。在批准新的治疗方法之后,需要对以后的治疗模式进行评估。
 
图2 患者治疗顺序和治疗时间的GRAPHx图
 
复发预测
 
3、预测晚期、高分化神经内分泌肿瘤患者生长抑素类似物治疗的无进展生存期:GETNE-TRASGU研究
 
Prediction of Progression-Free Survival in Patients With Advanced, Well-Differentiated, Neuroendocrine Tumors Being Treated With a Somatostatin Analog: The GETNE-TRASGU Study
J Clin Oncol [IF=-28.245]
 
目的:大多数分化良好的胃肠胰腺(GEP)神经内分泌瘤患者均推荐使用生长抑素类似物(SSA)作为一线治疗。但是,治疗能否使患者获益具有异质性。该研究的目的是构建和验证SSA治疗患者的无进展生存期(PFS)预测模型。
 
患者和方法:该研究从西班牙神经内分泌和内分泌肿瘤登记处(R-GETNE)提取数据。患者纳入标准包括原发部位为GEP,Ki-67≤20%以及一线SSA单药治疗晚期疾病。研究构建了加速失效时间模型来预测PFS,用列线图和在线计算器表示。通过一系列连续符合条件的患者(英国曼彻斯特的Christie NHS Foundation Trust)对列线图进行外部验证。
 
结果:研究共纳入了535例患者(R-GETNE,n=438;曼彻斯特,n=97)。训练组的中位PFS和总生存期分别为28.7(95%CI,23.8-31.1个月)和85.9个月(95%CI,71.5-96.7个月)。与PFS显著相关的9个协变量是原发肿瘤位置、Ki-67指数、中性粒细胞与淋巴细胞的比率、碱性磷酸酶、肝脏受累程度、存在骨骼和腹膜转移、已记录的进展状态以及开始SSA时存在的症状。GETNE-TRASGU(生长抑素类似物治疗胃肠道胰腺和未知的原发NETs)模型(图3)具有合适的校准以及较好的辨别能力,在训练组和验证组的C指数值分别为0.714(95%CI,0.680-0.747)和0.732(95% CI, 0.658-0.806)。
 
结论:GETNE-TRASGU基于证据的预后工具可根据估计的PFS对接受SSA治疗的GEP神经内分泌肿瘤患者进行分层。该列线图可能有助于未来的试验中神经内分泌肿瘤患者的分层,也可能是日常临床实践中做出治疗决策的有价值的工具。
 
图3 GETNE-TRASGU(西班牙神经内分泌和内分泌肿瘤组-生长抑素类似物治疗胃肠道胰腺和未知的原发性神经内分泌肿瘤)的列线图。SSA,生长抑素类似物;ULN,正常值上限。
 
4、多机构构建和外部验证的列线图预测胰腺神经内分泌瘤根治性切除后复发
 
Multi-institutional Development and External Validation of a Nomogram to Predict Recurrence After Curative Resection of Pancreatic Neuroendocrine Tumors
Ann Surg [IF=9.476]
 
目的:构建列线图以评估局限期1级(G1)/2级(G2)胰腺神经内分泌肿瘤(PanNETs)切除后5年内无复发生存率。
 
背景:在接受PanNETs切除术的患者中,约17%的患者复发。尚未确定哪些患者存在风险,对最佳随访时间尚无共识。
 
方法:使用一个多机构数据库,对在2家机构接受治疗的G1/G2 PanNETs患者进行列线图绘制,以评估根治性切除术后的5年内无复发率。来自其他3个机构的第二个队列患者用于验证列线图。使用Cox回归模型通过单因素分析评估预后因素。采用bootstrap重采样方法内部验证列线图并在外部队列中验证。通过一致性指数(c-index)和校准曲线评估性能。
 
结果:列线图纳入632例患者进行分析。总体上,68%的PanNETs为G1,中位随访时间为51个月,共观察到74例复发。列线图中的变量包括阳性淋巴结数目,肿瘤直径,Ki-67和血管/周围神经浸润(图4)。内部验证的模型偏差校正后的c指数为0.85,高于欧洲神经内分泌肿瘤学会/美国癌症联合委员会分期系统(第8版)(c指数0.76,P≤0.001)。在328例患者的外部队列中,列线图c指数为0.84(95%CI 0.79-0.88)。
 
结论:经外部验证的列线图可预测PanNETs根治性切除术后5年无复发生存率,其准确性要高于当前的分期系统。评估个体复发风险将指导手术后个体化监测方案的开发。
 
图4 预测局限期胰腺神经内分泌肿瘤术后5年无复发生存率的列线图
 
综述
 
5、一项临床病理综述:I型、II型和III型多灶性G1-G2级胃神经内分泌肿瘤的鉴别
Multifocal G1-G2 gastric neuroendocrine tumors: Differentiating between Type I, Ⅱ and Ⅲ, a clinicopathologic review
World J Clin Cases [IF=1.153]
胃神经内分泌肿瘤(gNETs)是一种罕见的实体瘤,其发病率不断升高。不同的病理生理过程可能导致这些肿瘤的发展,因此有必要进行适当的组织学分析,以区分1级(G1)和2级(G2)肿瘤,这将影响这些患者的管理,因为这些患者淋巴结和远处转移的风险升高。该综述提供了多灶性的胃神经内分泌肿瘤的全面临床病理综述,尤其是针对G1和G2级肿瘤,并根据免疫组织化学特征区分I、Ⅱ和Ⅲ型以及风险分层(表I)。该综述基于同行评审的文献和作者的经验而得出。gNETs是一组发病率呈上升趋势的异质性肿瘤,这些病变虽然来自相同的细胞类型,但病因却不同。鉴定gNETs的类型需要临床和病理学相关的共同努力。正确分级和分期至关重要,因为这会影响患者的治疗和预后。
 
表1 Ⅰ、Ⅱ和Ⅲ型胃神经内分泌肿瘤的特征
 
6、高分化高级别神经内分泌瘤(G3 NET)的治疗
 
Management of Well-Differentiated High-Grade (G3) Neuroendocrine Tumors
Curr Treat Options Oncol [IF= 3.851]
 
与NEC和NET G1/G2相比,NET G3在分子、影像学和预后方面均存在差异。多年来,虽然NET G3患者主要接受含铂药物治疗,但越来越多的证据表明,此类药物在NET-G3中的疗效有限,ORR为0-17%。当前的大部分证据来自存在显著内在偏差的回顾性队列研究,并且仅有少量的小型单臂前瞻性研究。因此,NET G3的最佳治疗顺序尚未确定。
 
总体而言,在由经验丰富的病理学家确诊为NET G3后,有必要进行生长抑素受体影像学检测,如镓68 PET/CT(图5)。可切除的肝转移患者应考虑接受有效的局部治疗,包括伴或不伴消融治疗的手术。生长抑素受体影像学检测阳性的晚期G3 NET患者接受SSA作为一线治疗是可行的,需要密切监测是否发生疾病进展。发生进展时,由于肽受体放射性核素治疗(PRRT)良好的缓解率和PFS/OS,且毒性可控,可以考虑使用PRRT。较早接受PRRT(在其他化疗药物之前)的优点为,与化疗后PRRT相比,骨髓毒性的发生率较低。鉴于美国FDA批准组织学未知的高微卫星不稳定(MSI)恶性肿瘤患者(无论其起源如何)接受纳武利尤单抗或帕博利珠单抗治疗,当无法使用PRRT或患者在PRRT后进展时,患者有必要进行MSI检测。
 
实际上,需要更多的数据来评估在DART试验中观察到的纳武利尤单抗和伊匹木单抗联合治疗的活性数据是否可重现,以及其有效性是否主要由于NEC或NET G3所致。由于含铂治疗在NET G3中的活性有限,因此以替莫唑胺为基础的治疗(9例如CAPTEM)是合理的选择,特别是在临床表现更具侵袭性的胰腺原发患者和/或NET G3患者。也可以考虑使用其他方案,例如舒尼替尼,依维莫司或细胞毒性化疗(FOLFOX或FOLFIRI;图5)。事实上,其他含铂方案也可以考虑,尤其是当Ki67>55%或检测到低分化组分或疾病更具侵袭性。后续试验需要特别关注NEN G3的异质性以及NET G3对治疗的预后和缓解方面的独特特征.
 
注释:PRRT暂未在国内上市,未获批NET治疗适应症。
图5 高分化的G3级神经内分泌瘤(NET G3)患者的推荐治疗流程
 
 
专家简介
 
叶峰
厦门大学附属第一医院肿瘤内科主任
主任医师、博士、硕士生导师、副教授
中国临床肿瘤学会(CSCO)理事
中国临床肿瘤学会(CSCO)临床研究专家委员会委员
福建省海峡医药卫生交流协会临床肿瘤学诊疗分会主任委员
福建省抗癌协会肺癌专业委员会常务委员
福建省肿瘤防治联盟结直肠癌专业委员会副主任委员
福建省抗癌协会免疫治疗专业委员会副主任委员
吴阶平医学基金会MDT专委会常委
厦门市肿瘤化疗质量控制中心主任
JCO审稿专家?JCO肺癌中文版编委会委员
目前主持及参与多项国家自然科学基金课题及省厅级课题以第一作者及通讯作者,发表SCI学术论文10余篇

本内容仅供医学专业人士参考


内分泌

分享到: 更多