当前位置:肿瘤瞭望>资讯>快讯>正文

史美祺教授:安维汀联合化疗的一项真实世界研究;肺癌药物综合治疗的一贯思考和探索(上)

作者:肿瘤瞭望   日期:2018/9/13 17:07:02  浏览量:25365

肿瘤瞭望版权所有,谢绝任何形式转载,侵犯版权者必予法律追究。

编者按:2018年ASCO会议上,江苏省肿瘤医院史美祺教授研究团队的一项肺癌临床研究入选壁报交流。这项来自真实世界的回顾性临床研究提示,采用“培美曲塞+铂类+安维汀”联合方案一线治疗非鳞状非小细胞肺癌(NS-NSCLC),可为患者带来了显著的生存获益。史教授在肺癌的药物综合治疗领域有丰富的临床经验,并始终保持临床实践和研究转化的敏锐性,对肺癌综合治疗相关研究进展尤其具有独立而冷静的思考;而所有的穷尽思考和研究探索的动力来源,就是为了改善肺癌病人的生存预后。

《肿瘤瞭望》:您带领的研究团队在今年 ASCO 大会上有一项肺癌研究的壁报交流,即“培美曲塞+铂类+安维汀”一线治疗NS-NSCLC的研究。什么样的机缘促使您对这种治疗方案给予了关注?这项研究结果是否解答了我们对此方案的一些困惑?
 
我们先从这项回顾性研究的背景说起。自安维汀在我国获批非小细胞肺癌适应症并上市后,国外ECOG 4599研究、我国BEYOND研究等众多循证医学证据告诉我们:在含铂两药方案的基础上加用安维汀,尤其是“卡铂+紫杉醇+安维汀”可以给晚期NS-NSCLC患者带来非常显著的疗效。同时国际上的AVAPERL研究使用“培美曲塞+顺铂+安维汀”也取得了非常好的结果。这些数据有效地丰富了指南推荐的循证医学证据,国内外指南均有相关陈述,即晚期NS-NSCLC患者,特别是没有基因突变的人群,在含铂两药方案的基础上加用安维汀,治疗有效率可以翻一倍,PFS、OS可以获得更好的改善。
 
经过多方面的坚持和争取,从2012年开始至今,我们已累积了200多个病例,且大部分病例的临床随访资料保存完整。我们的病例样本量也足够进行回顾性分析,可以从真实世界层面反映这个方案治疗NS-NSCLC的有效性和安全性(图1)。
 
很荣幸,这项回顾性研究得到了今年ASCO大会的接收,得以在国际肿瘤学术平台上公布展示。从治疗有效率、PFS及安全性相关数据来看,本研究所获结果和已发表的前瞻性随机对照研究数据基本吻合。这主要得益于我们对接受该治疗方案的患者进行了周密的考虑,凡是有抗血管药物禁忌症的患者均予以排除,比如咯血、瘤内出血、血栓或中央型侵犯大血管等。在我们的临床实践中,接受该治疗方案的患者生存预后与既往随机对照研究数据所反映的生存获益基本一致,此200余例患者在“两药化疗联合靶向治疗”的方案治疗下并未发生非常严重的药物相关不良事件,该治疗方案的安全性在我们临床实践的数据中也得到积极验证。
 
图1. 研究设计
 
《肿瘤瞭望》:您在介绍研究背景中也提到,这项回顾性研究和已经公开发表的随机对照研究的数据和结论是吻合的。请您具体介绍一下本研究的主要终点和次要终点的数据表现?
 
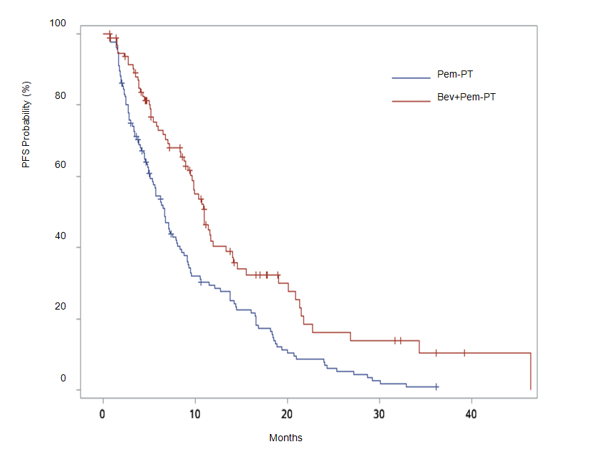
该研究是一个回顾性、非随机对照研究。我们把2012年1月到2017年3月期间接受“培美曲塞+铂类”和“培美曲塞+铂类+安维汀”治疗的晚期NS-NSCLC患者的临床资料进行对比分析。主要终点之一是无进展生存期(PFS),单纯化疗的PFS只有6.6个月,加用安维汀后,中位PFS可以达到将近11个月(图2)。另外一个研究终点是客观缓解率(ORR),化疗联合安维汀的ORR可以达到63.5%,而对照组仅有20.8%。无论是主要终点PFS还是次要终点ORR,都呈现非常理想的数据结果。
 
当然,本研究作为一个回顾性、真实世界研究,干扰因素相对较多,比如体弱、高龄这些因素往往会在标准化的随机对照临床研究中进行剔除,而在本研究中具有这些因素的患者会影响到整体数据的结果,导致数据偏差的存在,所以其疗效结果的满意度相对于标准的随机对照研究可能会有所下降。但是我们依然可以看到其生存改善的趋势,PFS和ORR结果是值得肯定的。若该研究有更大的样本量,则可以进一步减小研究的偏倚,提高数据的真实性。无可否认的是,本研究有力的证实了传统化疗联合抗VEGF靶向治疗,可以使患者获得很好的疗效。
 
不过遗憾的是,我们仍无法获得总生存期(OS)数据。相较于随机对照临床研究而言,真实世界临床研究中的不确定性和复杂性更明显,生存数据的获得更难以把控我们目前只能通过单中心的回顾性分析,初步反映该治疗方案的真实情况,为同行和患者提供参考。
 
图2.实验组和对照组整体人群的PFS
 
《肿瘤瞭望》:正如您讲到的,本研究对临床诊治是有积极指导意义的。这项研究对您的临床实践是否也产生了一些启发,即您对晚期肺癌综合治疗的策略优化有哪些思考?
 
晚期非小细胞肺癌的治疗手段比较单薄,患者总体生存期比较短。所以在有限的资源、有限的治疗手段下,如何使患者活得更长、活得更好,是我们的奋斗目标。围绕着这样一个目标,我们希望用疗效最好、副作用最小的药物方案;或者退而求其次,使用疗效最好、安全性可以接受的方案,最终为患者带来更好的生存获益。
 
从现有的循证医学证据来看,未来要在中国上市的免疫治疗药物可能会带来另一番的前景。在此之前,我们的武器少之又少,只能靠化疗和靶向治疗两种手段延长患者的生命。如果患者没能查出现有靶向治疗的相关肿瘤驱动基因,就只能单靠化疗来延长生命。既往数据显示单纯化疗的晚期患者OS仅有一年左右;所以有更好的药或更好的联合方案去延长患者生存时间的意义非常重大。比如我们这个来自中国本土的、真实世界的研究数据,其整体结果提示,化疗联合安维汀可延长NS-NSCLC患者PFS,提高ORR。所以我们应尽早使用这类方案,让患者获得更长久的生存时间和更优质的生活质量。
 
《肿瘤瞭望》:像您刚刚提到的,只有疗效和安全性兼具的药物才是好药,安维汀的安全性也是久经验证,在您这项来自真实世界的临床研究中关于安维汀联合化疗的不良反应管控是如何实现的呢?
 
不管用什么治疗方案,化疗也好、抗血管生成治疗也罢,在用药前一定要对患者进行全面的评估。首先是患者的一般机能状态的评估:如临床表现、症状、体征、年龄、体重,营养状况等。患者的临床表现是否咳血、是否痰中带血、严重程度如何这些基本的病情评估不能忽视;然后是血常规、肝肾功能、心肺功能等必要的辅助检查,尤其是心电图、心脏超声是必不可少;再者通过影像学的检查进行准确的分析,甚至要留意肿瘤是否有空洞、是中央型的还是周围型、是否侵犯大血管等;假如患者存在转移灶,特别是脑转移的患者,是否存在肿瘤内的出血,是否存在脑梗塞或血栓这类基础疾病?
 
只有全面采集患者的临床病历资料,从患者的病史体征、化验检查、影像检查得出全面的判断,才能准确地评估肿瘤复发风险及治疗相关并发症风险,进而才能讨论接受化疗还是靶向治疗等不同治疗选择,形成最佳治疗方案。如此一来,患者就可以在疗效上得到一个很好保证,同时在安全性上也可以得到非常放心的结果。
 
《肿瘤瞭望》:我们还注意到此项研究中还进行各项亚组分析,如胸膜浸润、脑转移等不同肿瘤转移情况的亚组分析,也对比了选择或未选择安维汀维持治疗的患者预后情况。请您介绍一下,不同的肿瘤转移情况对联合安维汀是否有差异,对临床实践是否有指导意义
 
亚组分析中,患者是否存在脑转移,是否存在胸水,是否存在胸膜浸润,是否进行维持治疗,对患者预后都存在影响。在上述亚组中,患者是否使用了安维汀的疗效是存在差别的。在脑转移亚组中,我们对“培美曲塞+铂类化疗”同“培美曲塞+铂类+安维汀”进行对比发现,“培美曲塞+铂类化疗”的中位PFS只有5.9个月,但是加用安维汀后,中位PFS可以达到7.8个月。另外在胸膜浸润的亚组中,我们同样可以看到,在化疗基础上加用安维汀,相对于单纯化疗的获益趋势是更好的。本研究可能是由于样本量不够大,在分层后的亚组间数据还不能表现出统计学意义的显著差异,但其疗效优势的趋势依然是值得参考的(图3)。
 
而维持治疗的亚组分析结果是具有显著统计学差异的。患者使用了培美曲塞+铂类联合安维汀获益后,选择维持治疗患者的中位PFS显著优于不做维持治疗的患者。至于临床实践中为什么有很多患者不做维持治疗,其主要原因是费用的问题,许多患者仍无法承担长期应用安维汀的经济负担,尤其是在早年没有慈善赠药的时候,很多患者常常因为经济无法支撑而不得不选择停药。但是,近些年,国家一系列医改政策出台后,大大改善了肿瘤患者的药物可及性。去年,安维汀就通过药价谈判的方式列入国家医保目录,更加大幅的减轻了患者的治疗负担。而另一种无法进行维持治疗原因则是患者不耐受副反应,比如药物导致的疲劳、乏力等严重影响生活质量,促使得患者选择中断维持治疗。
 
但是回顾我们的研究数据可以发现,坚持进行安维汀维持治疗的患者,其中位PFS比没有维持治疗的患者延长近一倍(11.6 vs. 7.2 月; P < 0.001)(图4)。所以无论是大型的Ⅲ期临床研究,还是其他的真实世界数据,在接受规定疗程的“化疗+安维汀”联合治疗后,继续“安维汀+培美曲塞”维持治疗可以给患者带来更长久的肿瘤控制时间,这一点是非常重要的。
 
图3. 亚组人群的PFS
 
图4.不同维持治疗方案的PFS

本内容仅供医学专业人士参考


安维汀史美祺

分享到: 更多